News:

:) If you can't see some "in-line" images in a post, try "refreshing" your browser!

Main Menu

Effective Takeoff Angle Calibrations for WDS Spectrometers

Started by Probeman, October 08, 2023, 09:37:39 AM

Previous topic - Next topic

Probeman

In the previous post above I tried to test the effective takeoff angle using Si Ka at 25 keV (to obtain a large absorption correction) in SiO2 and various silicates as seen here in Ni2SiO4:



Note that the Si Ka k-ratios on all three TAP crystals (at a low sin theta) seem to plot higher, possibly indicating a smaller effective take off angle. While Si Ka k-ratios on the PET crystals (at high sin thetas) all seem to plot lower, possibly indicating a higher effective take off angle.

So I thought we should attempt to characterize these k-ratio on our TAP crystals using an emission line with a large absorption correction and a high sin theta position on TAP.  Looking at our standards I decided to try F Ka in CaF2 and BaF2 and you will remember the problems I documented that I had with the changes in peak shape as described in this post:

https://smf.probesoftware.com/index.php?topic=536.msg12187#msg12187

Fortunately, in Probe for EPMA, the k-ratios are automatically corrected for APF effects, so let's forge ahead and see how these APF corrected k-ratios compare to modeled k-ratios as seen here:



So one could argue that the measured k-ratios are slightly higher than the Armstrong and XPP models, but pretty much agree with PAP, but at least a bit ambiguous at best.

So I'm going to try again using the Mg Ka line instead on TAP next time I can get on the instrument, but in the meantime it might be worth looking at the PET crystals at low and high sin thetas, e.g., Ti Ka and Si Ka.
The only stupid question is the one not asked!

Probeman

Since we had some difficulty attempting to measure our F Ka k-ratios on TAP crystals, I decided to look at all 5 PET crystals on my instrument, using both Si Ka for high sin thetas and Ti ka for lower sin thetas.

As you may remember from previous posts this was a typical trend that we saw for Si Ka on both TAP and PET crystals:



What we saw above was that for Si ka on PET (high sin thetas) we observed k-ratios falling below the expected k-ratio models (and the EDS k-ratios), while for Si Ka on TAP (at low sin thetas) we saw k-ratios that were above the predicted k-ratios (and the EDS k-ratios).  But will these trends hold up for all PET crystals?

This time we tuned up Si Ka on all 5 PET crystals and EDS, but utilized a different mount than before so I was more limited in what materials I could utilize. Here are Si Ka k-ratios at 25 keV on labradorite and SiO2:



Again we are able to reproduce the seemingly lower k-ratios for Si Ka on these PET crystals.

Unfortunately the EDS spectrometer gave very scattered results, probably due to the difficulty that Nicholas Ritchie mentioned regarding the fitting of the Si absorption edge from the EDS detector material. Steve Seddio is looking at these spectra to see if we can improve the modeling of the continuum to get more consistent results.

We can also see this more ambiguous data for Mg2SiO4:



And for the other silicate I measured, PbSiO3, the models are very spread out, though here the EDS data was quite consistent (which makes me wonder if the issue with Si is more related to the Mg and Al peaks in the other materials), so it is included in this plot:



And if we do trust the EDS k-ratio data to be more representative of a 40 degrees take off angle, then again we see all 5 PET crystals yielding k-ratios lower then we should expect. As for not using Si Ka, it would be nice to use another emission line at a high sin theta on PET but that leaves us with Ka emissions from P, S, Cl and Ar for which stable materials are not so readily available...  maybe I will try GaP and InP next time...

Next we'll look at Ti Ka on all 5 PET crystals.
The only stupid question is the one not asked!

Probeman

Continuing with simultaneous k-ratios on our 5 PET crystals (and EDS) we measure Ti Ka in SrTiO3 as a secondary standard and TiO2 as a primary standard at 25 keV:



Clearly the models are not much help here, but if we assume that the EDS k-ratios are more representative of an effective take off angle of 40 degrees, we can see that (unlike the Si Ka k-ratios measured at high sin thetas which appeared to be lower than expected), we seem to have Ti ka WDS k-ratios (except for spectrometer 4) higher than the EDS, perhaps indicating a lower effective take off angle at lower sin thetas.

We see a similar results using RbTiOPO4 a a secondary standard:



Again, except for spectrometer 4, the k-ratios are higher than the EDS, perhaps indicating a lower effective take off angle at these lower sin thetas on PET. Also again, the models are somewhat ambiguous.

Next I will try P Ka at 25 keV on GaP and InP to see if we can obtain more reliable results for Si ka with EDS at high sin thetas on PET...

Modeling these effective takeoff angles in the new modeling feature in CalZAF:

we see these trends for Ti Ka at 25 KeV:

Effective K-Ratios for Primary Standard: 22 TiO2 synthetic
Secondary Standard: 1023 RbTiOPO4
Emission line: ti ka at 25 keV
Absorption Correction Method: Phi(pz) Absorption of Armstrong/Packwood-Brown 1981 MAS
MAC File: LINEMU   Henke (LBL, 1985) < 10KeV / CITZMU > 10KeV

Absolute k-ratio change per degree at 40 degrees:  .000642
Percent (relative) k-ratio change per degree at 40 degrees:  .211949

Takeoff Angle:  35.0000, K-Ratio:  .298486
Takeoff Angle:  35.5000, K-Ratio:  .298900
Takeoff Angle:  36.0000, K-Ratio:  .299303
Takeoff Angle:  36.5000, K-Ratio:  .299695
Takeoff Angle:  37.0000, K-Ratio:  .300076
Takeoff Angle:  37.5000, K-Ratio:  .300447
Takeoff Angle:  38.0000, K-Ratio:  .300808
Takeoff Angle:  38.5000, K-Ratio:  .301159
Takeoff Angle:  39.0000, K-Ratio:  .301502
Takeoff Angle:  39.5000, K-Ratio:  .301835
Takeoff Angle:  40.0000, K-Ratio:  .302160
Takeoff Angle:  40.5000, K-Ratio:  .302477
Takeoff Angle:  41.0000, K-Ratio:  .302785
Takeoff Angle:  41.5000, K-Ratio:  .303086
Takeoff Angle:  42.0000, K-Ratio:  .303379
Takeoff Angle:  42.5000, K-Ratio:  .303665
Takeoff Angle:  43.0000, K-Ratio:  .303944
Takeoff Angle:  43.5000, K-Ratio:  .304216
Takeoff Angle:  44.0000, K-Ratio:  .304481
Takeoff Angle:  44.5000, K-Ratio:  .304740
Takeoff Angle:  45.0000, K-Ratio:  .304992

The range in our RbTiOPO4/TiO2 k-ratio plot covers roughly +/- 5 degrees in effective take off angle!   

Could my spectrometers really be out that much?   Have you tested your spectrometers?  What range of k-ratios do you see?
The only stupid question is the one not asked!

Probeman

Quote from: Probeman on November 18, 2023, 08:35:27 AM
Since we had some difficulty attempting to measure our F Ka k-ratios on TAP crystals, I decided to look at all 5 PET crystals on my instrument, using both Si Ka for high sin thetas and Ti ka for lower sin thetas.

As you may remember from previous posts this was a typical trend that we saw for Si Ka on both TAP and PET crystals:



What we saw above was that for Si ka on PET (high sin thetas) we observed k-ratios falling below the expected k-ratio models (and the EDS k-ratios), while for Si Ka on TAP (at low sin thetas) we saw k-ratios that were above the predicted k-ratios (and the EDS k-ratios).  But will these trends hold up for all PET crystals?

So here are results from some Mg Ka on TAP k-ratio measurements I did a week ago. Unlike the measurements on Si Ka quoted above, this time the EDS agreed quite well with the WDS, except for spectometer 4!  And yes, I am being super careful in adjusting the PHA and stage tilt/focus!

Here is Mg2SiO4:



Diopside:



SRM K-411:



and SRM K-412:



So what the heck is going on here?  Yes, some of these k-ratios appear to be a little high compared to the models as we saw before...

I guess next I'm going to try some replicate measurements on Si ka on TAP and also PET and see if I can at least reproduce the earlier measurements.  Right now I don't see any compelling trends...
The only stupid question is the one not asked!

Probeman

Previously I tried to test the effective takeoff angles on PET and TAP crystals for Si Ka. For example here for Mg2SiO4 and SiO2:



We note that the k-ratios on the PET crystals seemed to be a little low compared to the TAP crystals with the EDS k-ratios pretty much in the middle. So (finally) I decided we should test the reproducibility of these k-ratios by making a new set of measurements:



And yes, they are roughly reproducible, so that is a good thing.  But more concerning is when we examine different compounds, for example one of the NIST glasses, SRM K-411:



OK, well the PET k-ratios are again lower than the TAP k-ratios, but our EDS k-ratios are lower than all.  What is going on here?

So let's take a look at SRM K-412:



Well, forget about the WDS k-ratios, now the "wheels have come off" on our EDS k-ratios"!   

There's something not quite right about the net intensities we are obtaining from our EDS software.  Which is a bummer because I was hoping that we could utilize the EDS k-ratios to "calibrate" the effective take off angles on our WDS spectrometers, but maybe not.  What is the problem with our EDS?  Well, working with Nicholas Ritchie, Steve Seddio and Gareth Seward we think we have some possible ideas but it's complicated...  more to come.

But the broader point is: have you checked your WDS and EDS detectors by running simultaneous k-ratios on all of them?  I'd be interested in what others find on their instrument.
The only stupid question is the one not asked!

Probeman

After having difficulty obtaining accurate net intensities from the Thermo Pather Portal API, see here for details:

https://smf.probesoftware.com/index.php?topic=1592.0

I decided to model the k-ratios in Penempa, first using 100K seconds, but the precision was not good enough so I ran again this time for about 100 hours each and got a precision of +/- 0.00148 on the k-ratio:



Not only does it pretty much "split the difference" between the Armstrong and PAP models but it also agrees well with the EDS.

Maybe this is the way forward to calibrate our WDS effective take off angles?
The only stupid question is the one not asked!

Probeman

After chatting with Nicholas Ritchie yesterday regarding the need for intra and inter laboratory k-ratio consensus, it occurs to me that it sure would be nice if we had some absolute k-ratio targets for specific compounds, as shown by the PENEPMA k-ratio in the plot above.

I mean it's great to obtain intra laboratory k-ratio consensus where all your spectrometers yield statistically similar k-ratios, and even better if each spectrometer could produce statistically similar k-ratios using multiple Bragg orders over the range of each spectrometer:

https://smf.probesoftware.com/index.php?topic=1811.msg13878#msg13878

And of course the ultimate goal is to see statistically similar k-ratio measurements produced between labs on a global basis, but maybe we might also have some absolute k-ratio targets?

Just for kicks I've started creating a spreadsheet with several compounds using high precision (200K seconds) modeling in PENEPMA that might be suitable for these sorts of spectrometer calibrations, for example MgO, Al2O3 and MgAl2O4 at various beam energies.

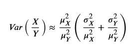
Thing is, in looking at the output from the PENEPMA GUI I noticed that only the unknown intensity variance was being output, so the folks over at Probe Software fixed that in the latest version. Interestingly when combining the variances from the quotient of two independent variables it's a bit more complicated that just adding the variances when performing a net intensity calculation (subtraction):



So the code for this is here:

Function Penepma08BatchExtractKratiosVariance(sIntensity As Single, uIntensity As Single, sIntensity_var As Single, uIntensity_var As Single) As Single
' Calculate the variance of a k-ratio (quotient)

ierror = False
On Error GoTo Penepma08BatchExtractKratiosVarianceError

Dim qMeans As Single
Dim uRelVar As Single, sRelVar As Single
Dim cRelVar As Single, fVar As Single

Penepma08BatchExtractKratiosVariance! = 0#

' Calculate quotient of the means
qMeans! = uIntensity! / sIntensity!

' Calculte relative variances
uRelVar! = (uIntensity_var! * uIntensity_var!) / (uIntensity! * uIntensity!)
sRelVar! = (sIntensity_var! * sIntensity_var!) / (sIntensity! * sIntensity!)

' Calculate combined relative variance
cRelVar! = uRelVar! + sRelVar!

' Calculate final variance
fVar! = cRelVar! * (qMeans! * qMeans!)

' Calculate standard deviation of k-ratio (quotient)
Penepma08BatchExtractKratiosVariance! = Sqr(fVar!)

Exit Function

' Errors
Penepma08BatchExtractKratiosVarianceError:
MsgBox Error$, vbOKOnly + vbCritical, "Penepma08BatchExtractKratiosVariance"
Close #Temp2FileNumber%
ierror = True
Exit Function

End Function

And I had Grok check it for me so I think it's good.  Anyway, just to be clear, we're talking about the output from this button in the Standard app PENEPMA GUI Batch Mode dialog:



Here's the new PENEPMA k-ratio spreadsheet output as seen in Excel:

The only stupid question is the one not asked!