News:

:) We depend on your feedback and ideas!

Main Menu

monte carlo bse coefficient

Started by Ben Buse, July 24, 2018, 06:47:01 AM

Previous topic - Next topic

Probeman

#15
Quote from: JonF on August 06, 2018, 04:30:06 AM
It's interesting that nuclear screening has come up with regards to BSE coefficient.

I wonder whether it would be possible to see atomic screening 'artifacts', such as the poor screening by 4f electrons (cause of the 'lanthanide contraction') or the 'd-block' contraction, and if this difference would be discernible with our BSE detectors. Could be an interesting experiment!

Hi Jon,
I think you might be on to something here!

I ran your idea by a couple of physicists at UofO as to whether one might be able to detect subtle variations in the effective nuclear screening for transition series elements in the electron backscatter signal, and they said that it was "plausible".  In fact this might be the solution to the famous (infamous?) "Heinrich kink" dilemma, from his 1968 paper, which we know from physical considerations cannot be due to mass effects.  Here is a plot of Heinrich's measurements and my own measurements:



So at the time (late 1990s) I knew that his measurements from the 60s were good, but I could not explain them. I was guessing something along the lines of subtle differences in electron backscatter diffraction (channeling) between these elements, but I wasn't very convinced by it.

Since I could reproduce Heinrich's measurements 30 years later using my SX100 at UC Berkeley, I know that his measurements were good, but just couldn't convincingly explain them.  But I think you just might have!

I am running some high precision Monte Carlo calculations now and will post these in about a week or so when they are finished. In the meantime please see the attached pdf from an old document I wrote up in the 90s which has more details about this.

This could very well deserve a short paper by us together!
john
The only stupid question is the one not asked!

JonF

'Plausible' from physicists is high praise indeed!

That kind of effect from the raw data is more what I was expecting - I was puzzled as to whether the effect would be noticeable having seen the monte carlo simulations showing up a smooth curve (although you mention this in your paper!)

This may well be opening Pandora's box, but I've been wondering if the shielding of the nucleus in pure elements can be observed, whether the effects of bonding would also be discernible in compounds...

Probeman

#17
Quote from: JonF on August 10, 2018, 03:54:25 AM
'Plausible' from physicists is high praise indeed!

That kind of effect from the raw data is more what I was expecting - I was puzzled as to whether the effect would be noticeable having seen the monte carlo simulations showing up a smooth curve (although you mention this in your paper!)

This may well be opening Pandora's box, but I've been wondering if the shielding of the nucleus in pure elements can be observed, whether the effects of bonding would also be discernible in compounds...

Maybe?  But only very high precision measurements can say.

The Heinrich "kink" measurements that was able to reproduce are in the one or two percent level, so these are difficult measurements.  I can't wait to see the Penepma Monte Carlo simulations.

The funny thing was that the 1975 NIST Monte Carlo code seemed to correlate with the A/Z curve as Heinrich tried to demonstrate, but I noticed that they used a "multiscattering" electron model where they did lots of averaging to obtain faster results (computers were sloooow in those days).  And guess what?  When I asked Bob Myklebust about it, he confirmed that they utilized mass fraction to calculate the effects.  Ha!

Of course the 1998 MQ NIST Monte Carlo *single* scattering model did not show any such mass effect.

The question now is: how accurately does Penepma model these nuclear screening effects for elastic scattering of electrons? I really should ask Xavier, but I'll let the calculations finish first.

I'm running 100,000 sec per element so I hope that's enough precision. I did remember to optimize for BSE production. It's only on the 3rd element as seen here:



I might plot up what I have on Monday though...
The only stupid question is the one not asked!

Philippe Pinard

Thank you John for the detailed explanation.

Would you still have the raw data (i.e. backscatter coefficients for different compounds) you used in the paper back in 2003? I wonder what Figure 2c would look like if the tabulated Mott or PENELOPE elastic cross sections were used instead Rutherford.

Philippe

Probeman

#19
Quote from: Philippe Pinard on August 30, 2018, 09:15:59 AM
Thank you John for the detailed explanation.

Would you still have the raw data (i.e. backscatter coefficients for different compounds) you used in the paper back in 2003? I wonder what Figure 2c would look like if the tabulated Mott or PENELOPE elastic cross sections were used instead Rutherford.

Philippe

Hi Philippe,
I'm sure I have the data somewhere but I would have to search.

However Ben Buse plotted up some Penepma calculated BSEs here:

https://smf.probesoftware.com/index.php?topic=1111.msg7478#msg7478

The plot is a little confusing because he included some "original Z" values, so just ignore the violet colored symbols and you'll see that the remaining Z^0.8 symbols plot nicely on a line.

I should probably re-run all the compounds and pure elements I did back in 2003 again with Penepma just for fun.
john
The only stupid question is the one not asked!

Probeman

#20
Many moons ago we published a paper (Donovan, Pingitore and Westphal, 2003) on electron backscattering and the effects on that by atomic mass vs. atomic number. 

The bottom line is that mass has essentially zero effect on backscatter loss, while the BSE effect is essentially solely related to the effective nuclear charge of the nucleus, therefore the effect is almost entirely due to electrostatics. This claim is something that physical scientists generally accept after a few minutes of thought, but some, at least at the time, seemed surprised by our results. 

After the paper was published, we had a response from Stephen Reed who suggested our "proposal should be treated with caution, pending more rigorous testing".  Of course we are all for caution and more rigorous testing, but we still stand by the claim today, and more recently we have repeated these measurements and calculations, and found them to be reproducible both empirically, and theoretically, based new measurements and on the latest Monte Carlo models, as seen above in this topic.

For those interested in the gory details, the full paper and the response by Reed and our response to Reed's response are attached to this post:

https://smf.probesoftware.com/index.php?topic=1111.msg7448#msg7448

There will be more to say on this subject, but please feel free to make your own measurements and calculations and share them with us.
The only stupid question is the one not asked!

Probeman

Just to follow up on this BSE "brain teaser" which Ben Buse posted about a while ago, attached below is an abstract accepted for M&M 2019 showing some Penepma BSE simulations for pure elements and compounds and also some rough absorbed current measurements which we hope to do more of before M&M, but in the meantime it's worth a look I think.
john
The only stupid question is the one not asked!

Probeman

#22
This is an interesting read:

https://en.wikipedia.org/wiki/Slater%27s_rules

It makes me wonder if using a Z fraction^0.7 weighted average atomic number, to compensate for nuclear screening by inner orbital electrons, could be further improved by considering whether the atoms in our beam incident materials are truly neutral atoms or not.

I mean we're knocking electrons off of them constantly, right?  Probably a 10-4 effect (for inner orbitals anyway), but maybe someone would be willing to do some calculations...
The only stupid question is the one not asked!

Probeman

Here is a pdf of my presentation given this week at M&M 2019, in case anyone who missed the talk is interested (please login to see attachments).
The only stupid question is the one not asked!

John Donovan

#24
We've made some small changes to the Standard app in the output  from the Output | Calculate Alternative Zbars menu.

Here is the additional output for ThSiO4:



And here is a small table I put together showing how these calculations vary for a number of compounds:



Somewhat surprising is that the Z^0.7 Z fraction concentrations and zbars can be utilized not only for backscatter productions, but also for modeling continuum productions:

https://smf.probesoftware.com/index.php?topic=4.msg10036#msg10036
John J. Donovan, Pres. 
(541) 343-3400

"Not Absolutely Certain, Yet Reliable"

Probeman

We are very pleased that our new paper on "An Improved Average Atomic Number Calculation for Estimating Backscatter and Continuum Production in Compounds" is now published in Microscopy and Microanalysis:

https://doi.org/10.1093/micmic/ozad069
The only stupid question is the one not asked!

John Donovan

Quote from: Probeman on July 19, 2023, 09:29:04 AM
We are very pleased that our new paper on "An Improved Average Atomic Number Calculation for Estimating Backscatter and Continuum Production in Compounds" is now published in Microscopy and Microanalysis:

https://doi.org/10.1093/micmic/ozad069

The best comment we've received so far on the paper was a colleague who stated: "I've never seen an exclamation mark in a scientific paper before".  And if I think about it a bit, I don't think I ever have either.

But due to a profound misunderstanding by some in our scientific community, the authors and the editors felt that the exclamation point was indeed necessary!   :)
John J. Donovan, Pres. 
(541) 343-3400

"Not Absolutely Certain, Yet Reliable"

Aurelien Moy

#27
To follow up, in our recently published paper "An Improved Average Atomic Number Calculation for Estimating Backscatter and Continuum Production in Compounds by J. Donovan, A. Ducharme, J. J. Schwab, A. Moy, Z. Gainsforth, B. Wade, and B. McMorran" (https://doi.org/10.1093/micmic/ozad069), it may be unclear to the reader how Eqs. 6 and 7 are derived from the theoretical calculations presented in the "The Differential Scattering Cross Section of the Yukawa Potential" section.

Here is a simple derivation of these equations.

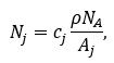
Consider a compound with density ρ and molecular mass M. Its macroscopic cross section is the sum of the microscopic (differential) cross sections of each element j present in the compound times the atomic density Nj, or:

The microscopic differential cross section and atomic density have units of cm2/sr and atoms/cm3, respectively. The atomic density of element j is given by:
,
with cj as the mass fraction of element j and Aj as the atomic mass (in g/mol) of the element j. NA is Avogadro's number (in atoms/mol) and ρ is the density of the material (in g/cm3).
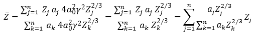
The atomic density can also be expressed using atomic fractions aj instead of the mass fraction:
with
So,

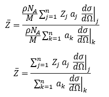
If we define the mean atomic number as the atomic number of each elemental constituent averaged over the macroscopic cross section above,

At small scattering angle, we have shown that dσ/dΩ is equal to (p.7 of the paper), hence:


This expression is the mean atomic number we presented in Eqs. 6 and 7 in our paper "An Improved Average Atomic Number Calculation for Estimating Backscatter and Continuum Production in Compounds" (Microscopy and Microanalysis (2023)).

I share credit for this explanation with Andrew Ducharme who improved the math and provided a clear interpretation of the probability of the expected atomic number.

Probeman

#28
Quote from: Probeman on July 19, 2023, 09:29:04 AM
We are very pleased that our new paper on "An Improved Average Atomic Number Calculation for Estimating Backscatter and Continuum Production in Compounds" is now published in Microscopy and Microanalysis:

https://doi.org/10.1093/micmic/ozad069

Following up on the above paper Aurelien and I published earlier this year, we've implemented the new Z based backscatter corrections in both CalcZAF and Probe for EPMA. This new Donovan and Moy (DAM) backscatter correction is available from the ZAF/Phi-rho-Z options as seen here:



To compare the new Z based DAM backscatter correction we implemented above, with an existing mass based backscatter correction, we replaced the Love-Scott backscatter correction in the Armstrong-Brown-Love-Scott matrix correction option with a modified PAP backscatter model using the new Z based fits we prepared using PENEPMA backscatter modeling of pure elements and compounds.

Here are the error distributions comparing measured k-ratios (from the Pouchou2.dat input file with 826 binary k-ratios) with k-ratios, first calculated using the existing Love-Scott backscatter correction:



Note the average error is 1.00845 +/- 0.047. Now using the the new DAM backscatter correction we obtain this error distribution:



with an average error of 1.00537 +/- 0.036, which is a small but significant improvement over the traditional mass based backscatter correction.

We can see the effects more easily using a partial k-ratio dataset which contains only matrices with a significant backscatter correction, e.g., greater than 10%, by calculating the same error distributions using the input file PouchouZ10.dat shown here for the traditional mass based Love-Scott backscatter correction:



which shows an average error of 1.0149 +/- 0.044. Next we examine the same partial k-ratio dataset using the new Z based DAM backscatter correction:



which gives an average error of 1.0055 +/- 0.027 which is a quite significant improvement over the mass based backscatter model!

For those interested in the details, the new code is available on the Open Microanalysis GitHub repository:

https://github.com/openmicroanalysis/calczaf

in the file ZAF.BAS. The details are summarized here for the backscatter coefficient procedure:

' BSC5 / CALCULATION OF Donovan and Moy BACKSCATTER COEFFICIENTS FOR PURE ELEMENTS (modified Pouchou and Pichoir #3)
ElseIf ibsc% = 5 Then
For i% = 1 To zaf.in0%
yy! = zaf.Z%(i%)
h1! = 0.002415529 * yy! + 0.290281095 * (1# - Exp(-0.0196309 * Exp(1.333873234 * Log(yy!))))
hb!(i%) = h1!
Next i%
End If

' BSC5 / SAMPLE CALCULATION OF Donovan and Moy BACKSCATTER (modified Pouchou and Pichoir #3)
ElseIf ibsc% = 5 Then
zbar! = 0#
For i1% = 1 To zaf.in0%
zbar! = zbar! + zaf.zfrac!(i1%) * zaf.Z%(i1%)
Next i1%

For i% = 1 To zaf.in0%
eta!(i%) = 0.002415529 * zbar! + 0.290281095 * (1# - Exp(-0.0196309 * Exp(1.333873234 * Log(zbar!))))
Next i%
End If


And here for the backscatter correction itself:

' STDBKS10 / Donovan and Moy BACKSCATTER CORRECTION FOR pure elements (Modified Pouchou and Pichoir #7)
ElseIf ibks% = 10 Then
For i% = 1 To zaf.in1%
If zaf.il%(i%) <= MAXRAY% - 1 Then
meanw! = 0.595 + hb!(i%) / 3.7 + Exp(4.55 * Log(hb!(i%)))
u0! = zaf.v!(i%)
ju0! = 1 + u0! * (Log(u0!) - 1#)
Alpha! = (2# * meanw! - 1#) / (1# - meanw!)
gu0! = (u0! - 1# - (1# - Exp((Alpha! + 1#) * Log(1# / u0!))) / (1# + Alpha!)) / (2# + Alpha!) / ju0!
zaf.r!(i%, i%) = 1# - hb!(i%) * meanw! * (1# - gu0!)
End If
Next i%
End If

' SMPBKS10 / Donovan and Moy BACKSCATTER CORRECTION FOR SAMPLE (modified Pouchou and Pichoir #7)
ElseIf ibks% = 10 Then
For i% = 1 To zaf.in1%
zaf.bks!(i%) = 1#
If zaf.il%(i%) <= MAXRAY% - 1 Then
If eta!(i%) <= 0# Then GoTo ZAFBksNegativeEta
meanw! = 0.595 + eta!(i%) / 3.7 + Exp(4.55 * Log(eta!(i%)))
u0! = zaf.v!(i%)
ju0! = 1 + u0! * (Log(u0!) - 1#)
Alpha! = (2# * meanw! - 1#) / (1# - meanw!)
If Alpha < 0# Then GoTo ZAFBksNegativeAlpha
gu0! = (u0! - 1# - (1# - Exp((Alpha! + 1#) * Log(1# / u0!))) / (1# + Alpha!)) / (2# + Alpha!) / ju0!
zaf.bks!(i%) = 1# - eta!(i%) * meanw! * (1# - gu0!)
End If
Next i%
End If


We believe this new Z based backscatter correction method is now ready for general use by the microanalysis community, particularly for compounds containing elements with significant differences in A/Z ratios:

The only stupid question is the one not asked!

Probeman

Quote from: Probeman on January 03, 2024, 11:14:07 AM
We believe this new Z based backscatter correction method is now ready for general use by the microanalysis community, particularly for compounds containing elements with significant differences in A/Z ratios:



A quick and easy way to evaluate the A/Z ratios in various compounds is to use the Output | Calculate Alternative Zbars menu in the Standard application:

https://smf.probesoftware.com/index.php?topic=1111.msg11640#msg11640
The only stupid question is the one not asked!